难度: 中等 标签: 权方和不等式 是否做正确: 未标明 是否属于易错题: 未标明 如果做错原因可能是: 未标明
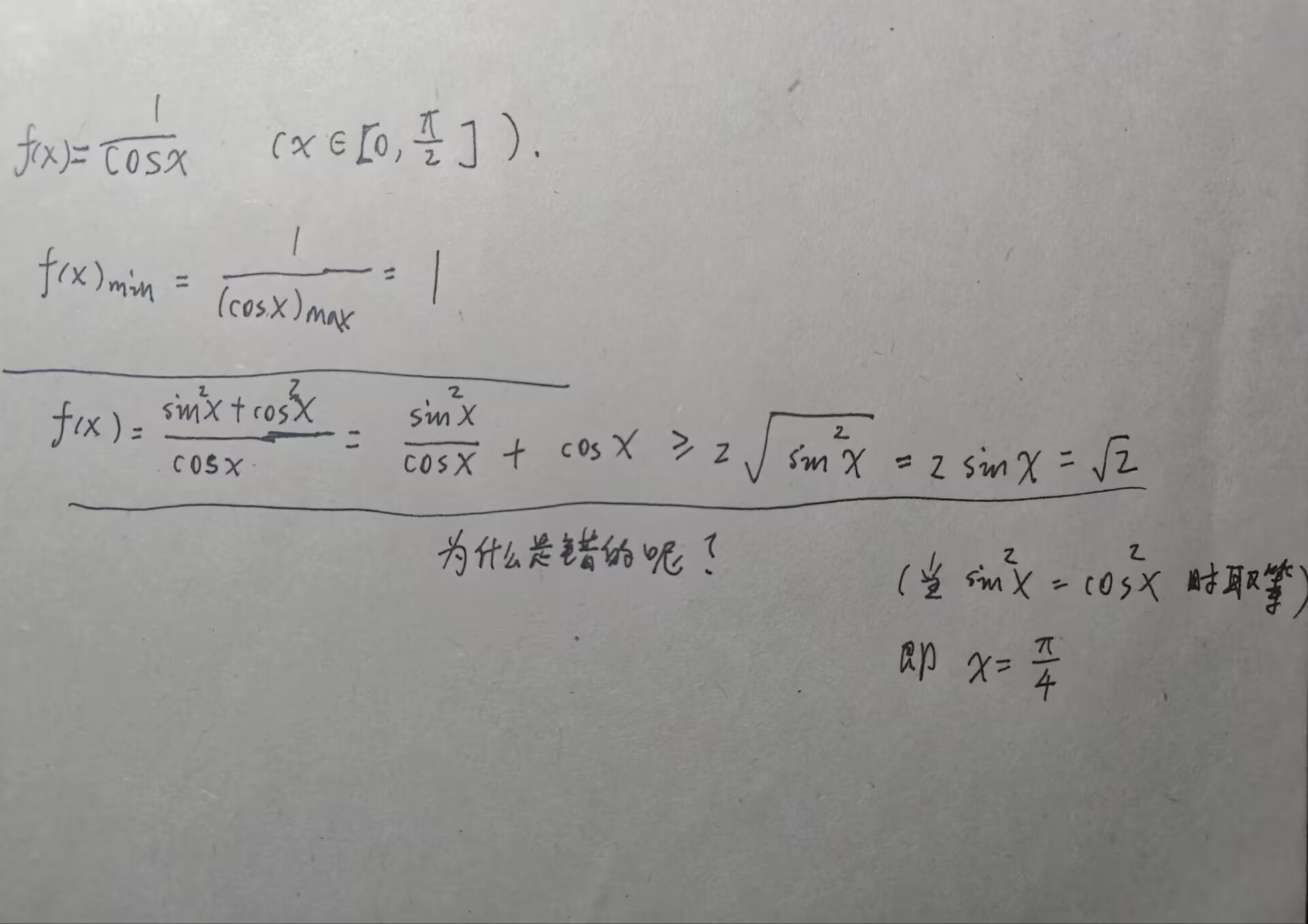
已知 x 是一个锐角,那么
正确

错误。但是为什么错呢?

TIP
这题也可以用待定系数法 + 多次放缩,来解出题目。
法二 待定系数法 + 多次放缩


错误解释

- 这个基本不等式应该是先要找定的东西吧
- 使用基本不等式的时候那个式子相乘之后不是一个定值,先要有定值
- 不是你取了一个等就可以永远当常数了
- 只能证明大于 2sinx
- 要使取等条件成立,需要后面的值是一个定值。否则等于的是一个变量、不确定的值, 可以类比
,后面大于等于的就是一个定值 2。
TIP
连续应用不等式的例子:连续应用不等式的例子