Skip to content
Archived Version
Search
Main Navigation
高中
语文
数学
英语
物理
化学
生物
每日学习计划
useful
draw
java
home-page
routine-index
Appearance
Menu
Return to top
outline
难度:
困难
标签:
圆锥曲线
抛物线
最值范围问题
是否做正确:
未标明
是否属于易错题:
未标明
如果做错原因可能是:
未标明
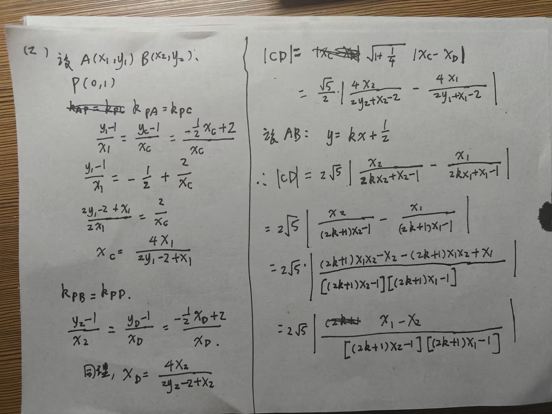
解
TIP
学会即时检查,因为 90% 的情况,在考试时也是,你不会再重新检查。没有时间,而且大概率检查不出来。
写二次函数,最好是把 二次项写在前面,好辨别二次函数的开口方向。如果不放在前面,那么要小心开口方向由 二次项 系数的正负决定。
计算
[
(
2
k
+
1
)
x
1
−
1
]
[
(
2
k
+
1
)
x
2
−
1
]
时,也可以直接将他们相乘,计算式子
(
2
k
+
1
)
2
x
1
x
2
−
(
2
k
+
1
)
(
x
1
+
x
2
)
+
1
距离 2025 高考还有 -103 天。